Dividing Polynomials By Monomials Worksheet - Dividing Polynomials Worksheet : Recall the quotient rule for exponents:. This algebra 1 monomial and polynomial worksheet will produce problems for dividing binomials. You can & download or print using the browser document reader options. Learn vocabulary, terms and more with flashcards, games and other study tools. The questions are based on dividing each term of the polynomial by the monomial and then simplify. You may select which type of binomials problem to use.

The questions are based on dividing each term of the polynomial by the monomial and then simplify. Dividing a polynomial by a monomial (one term) is a good place to start because it's not that bad. Today, we are going to make things simple for you and help you learn the right way to divide polynomials. More lessons for algebra math worksheets. Profit and loss maths worksheets.

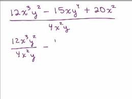
Divide The Polynomials By Monomials Worksheet For 8th 10th Grade Lesson Planet
Divide The Polynomials By Monomials Worksheet For 8th 10th Grade Lesson Planet from content.lessonplanet.com
To link to this page, copy the following code to your site Now, you'll have to reach back in your memory to try to remember how to do long. Polynomial long division without remainder. Some of the worksheets displayed are dividing polynomials, dividing polynomials date period, dividing polynomials by monomials, dividing polynomials by binomials, multiplying and dividing. Found worksheet you are looking for? Division of whole numbers is often done with a procedure. Division of a polynomial by another polynomial is one of the important concept in polynomial expressions. Some of the worksheets displayed are dividing polynomials, dividing polynomials date period, dividing monomials, dividing polynomials by monomials, multiplying dividing worksheet will open in a new window.

Equip yourself with the method of synthetic division that comes handy when.

This algebra 1 monomial and polynomial worksheet will produce problems for dividing binomials. Dividing polynomials worksheets comprise skills in dividing polynomials by monomials, synthetic division, box method, long division, factor method dividing polynomials using synthetic division | without remainder. If x is nonzero and m and n are positive integers, then. It becomes much tougher if we have to divide by a binomial (two terms). Profit and loss maths worksheets. Dividing polynomials might seem like the most intimidating of the operations to master, but as long as you remember the basic rules about adding and subtracting fractions and write the division out as a fraction, with the polynomial as the numerator and the monomial as the denominator. Dividing polynomials | division of polynomials examples with solutions. Some of the worksheets displayed are dividing polynomials, dividing polynomials date period, dividing polynomials by monomials, dividing polynomials by binomials, multiplying and dividing. Found worksheet you are looking for? Some of the worksheets for this concept are dividing polynomials date period, dividing polynomials, dividing polynomials date period, multiplying and dividing polynomials work answer key, dividing monomials, dividing polynomials by binomials, dividing monomials 1, polynomial. After a lecture on how to calculate the expression, students. Free printable worksheets with answer keys on polynomials (adding, subtracting, multiplying etc.) each sheet includes visual aides, model problems and many practice problems. Practice the questions given in the worksheet on dividing polynomial by monomial.

We know how to divide some simple polynomials by monomials. Improve your math knowledge with free questions in divide polynomials by monomials and thousands of other math skills. These worksheets explain how to divide polynomial equations by other polynomials, as well as by monomials. Found worksheet you are looking for? This rule applies when dividing a monomial by a monomial.

Add Subtract Multiply Divide Polynomials Worksheet Worksheets Free Download
Add Subtract Multiply Divide Polynomials Worksheet Worksheets Free Download from www.subtractionworksheets.co
For example for example, the division in example 1 is valid only if 4x2 ≠ 0, or x2 ≠ 0. Some of the worksheets displayed are dividing polynomials, dividing polynomials date period, dividing monomials, dividing polynomials by monomials, multiplying dividing worksheet will open in a new window. This rule applies when dividing a monomial by a monomial. Start studying dividing polynomials by monomials. All of your worksheets are now here on mathwarehouse.com. Found worksheet you are looking for? If this is the case, we have to do long division. Division of a polynomial by another polynomial is one of the important concept in polynomial expressions.

Practice the questions given in the worksheet on dividing polynomial by monomial.

Some of the worksheets for this concept are division of polynomials by monomials, factoring polynomials work with answers, dividing polynomials 1, dividing polynomials, dividing monomials, dividing polynomials date period, algebra 1. Start studying dividing polynomials by monomials. Free trial available at kutasoftware.com. Worksheets are dividing polynomials, dividing polynomials date period, dividing monomials, dividing polynomials by monomials, multiplying dividing monomials, dividing polynomials date period, division of polynomials by monomials, divide the polyno mials by monomials. This rule applies when dividing a monomial by a monomial. Found worksheet you are looking for? Polynomial long division without remainder. Today, we are going to make things simple for you and help you learn the right way to divide polynomials. You may select which type of binomials problem to use. Division of a polynomial by another polynomial is one of the important concept in polynomial expressions. Dividing polynomials by monomials, dividing polynomials by monomials and matching polynomials factoring are three main things we we have a great hope these dividing polynomials by binomials worksheet images gallery can be a resource for you, bring you more samples and most. All of your worksheets are now here on mathwarehouse.com. The questions are based on dividing each term of the polynomial by the monomial and then simplify.

Practice the questions given in the worksheet on dividing polynomial by monomial. Dividing polynomials by binomials using factorization. In algebra, a monomial is a product of a power of variables. More lessons for algebra math worksheets. Some of the worksheets for this concept are division of polynomials by monomials, factoring polynomials work with answers, dividing polynomials 1, dividing polynomials, dividing monomials, dividing polynomials date period, algebra 1.

Dividing Monomials Worksheet For 9th Grade Lesson Planet
Dividing Monomials Worksheet For 9th Grade Lesson Planet from content.lessonplanet.com
Some of the worksheets for this concept are dividing polynomials date period, dividing polynomials, dividing polynomials date period, multiplying and dividing polynomials work answer key, dividing monomials, dividing polynomials by binomials, dividing monomials 1, polynomial. Practice the questions given in the worksheet on dividing polynomial by monomial. Recall the quotient rule for exponents: You may select which type of binomials problem to use. Now, you'll have to reach back in your memory to try to remember how to do long. Dividing a polynomial by a monomial. For example for example, the division in example 1 is valid only if 4x2 ≠ 0, or x2 ≠ 0. Division of polynomials, known as long division, is a bit complex.

Start studying dividing polynomials by monomials.

Dividing a polynomial by a binomial. The questions are based on dividing each term of the polynomial by the monomial and then simplify. Some of the worksheets displayed are dividing polynomials, dividing polynomials date period, dividing polynomials by monomials, dividing polynomials by binomials, multiplying and dividing. Some of the worksheets for this concept are division of polynomials by monomials, factoring polynomials work with answers, dividing polynomials 1, dividing polynomials, dividing monomials, dividing polynomials date period, algebra 1. Equip yourself with the method of synthetic division that comes handy when. You may select which type of binomials problem to use. Some of the worksheets displayed are dividing polynomials, dividing polynomials date period, dividing monomials, dividing polynomials by monomials, multiplying dividing worksheet will open in a new window. You can & download or print using the browser document reader options. Division of whole numbers is often done with a procedure. To link to this page, copy the following code to your site Polynomials online worksheet for 9/10. Polynomial long division without remainder. Create your own worksheets like this one with infinite algebra 1.

By